Добавь сайт в закладки нажми CTRL+D
+1
+1
14
+1
+1
1
+1
+1
2
+1

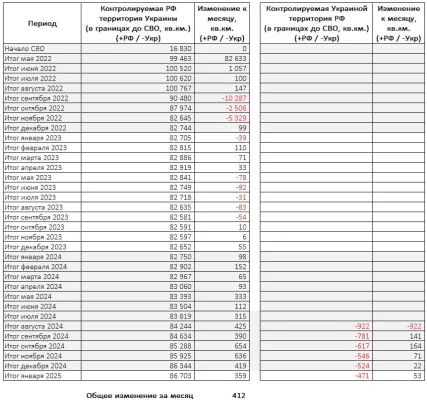
Общее изменение +412 км²
Основные продвижение:
+255 км² — на Южнодонецком направлении;
+86 км² — вдоль рек Жеребец и Оскол;
Площадь оккупированных территорий в Курской области сократилась на 53 км² и составляет около 470 км².
+1
+1
14
+1
+1
1
+1
+1
2
+1
Поделись видео:




